近日,浙江省首考成绩已然正式公布,各位考生可通过微信、考试院官网、短信推送等方式自行查询考试成绩。不过首考并不同于高考,考试院官方并不会公布一分一段表、各位考生的全省位次以及原始卷面分,考生只能知晓外语科目的卷面分成绩以及选考科目的赋分成绩。那么浙江首考的赋分规则是怎样的呢?小编已为大家整理了相关资料,快来看看吧!

2026浙江首考赋分表
浙江省1月进行的首考和6月高考统考采用的是相同的赋分规则,会按照五等20级对各科考生成绩进行赋分,一分一赋,起点赋分为40分(即所有考生选考科目单科成绩至少为40分),满分为100分。
据悉,浙江首考的考试科目主要为外语和选考科目(物理、化学、生物、历史、政治、地理、技术),其中需要进行赋分的仅有选考科目。而浙江首考赋分对照表如下:

从表格中可以看出,浙江高考选考科目在赋分时会先按照卷面分进行排序,共分为20个赋分区间,每个区间都有对应的人数比例。如卷面分排在全省前3%的考生,对应的赋分区间为(97~100),卷面分排在全省3%~6%的考生,对应的赋分区间为(94~96),以此类推。
而每一比例的考生,都会有卷面分的上下限。假设:浙江首考化学科目卷面分排在前10%~15%的考生共有3000人,其中第1名考生的卷面分为89分,第3000名考生的卷面分为84分,那么这一赋分区间的卷面分上限和下限即为89分和84分。
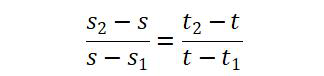
如某考生化学科目卷面分为86分,他的成绩排在全省前13%,由图可知对应的赋分区间为(88~90),对应的卷面得分区间即为(84~89)。然后便可根据以下公式进行赋分转换:

注:其中,s2、s1为卷面得分区间的上限和下限,s为待转换卷面得分;t2、t1为赋分区间的上限和下限,t为卷面得分等比例转换后的赋分。
将数值代入到公式中,即为89-86/86-84=90-t/t-88;
计算得出,t=88.8,四舍五入取整后的等级赋分为89分。
以上即为浙江首考赋分的具体步骤和示例。
2021-2026年浙江首考各科赋分人数(网传、预测)
一、2026浙江首考各科赋分表

二、2025浙江首考各科赋分表

三、2024浙江首考各科赋分表

四、2023浙江首考各科赋分表

五、2022浙江首考各科赋分表

六、2021浙江首考各科赋分表

以上资料仅供参考,具体请以实际情况为准!